全无机钙钛矿CsPbX3(X=Cl-,Br-或I-)体系因全无机组分以及优异的性能,近来成为太阳能光伏及LED领域备受关注的热门材料。特别是宽带隙的CsPbI3(CPI)钙钛矿,是非常具有潜力的太阳能电池光吸收材料,已报道的效率纪录达21%。然而,体相CPI具有多种结构,室温容易发生相变,转变为黄色的非钙钛矿相。为解决此类材料的相稳定问题,研究者们设计制备了CPI纳米晶量子点,室温以立方黑相稳定存在,具有良好的光电性能。尽管随着尺寸降低,相转变温度降低,吉布斯自由能升高,相稳定性提高,但是理论上在合适的热力学和动力学条件下,CPI量子点在低温下仍然可能发生相变。然而,这一观点尚未有相关实验研究报道。除材料本身特性外,表征手段也会左右结果的判断。当材料尺度下降至纳米尺度,依然采用传统的X射线衍射表征其结构时会产生严重偏差,如衍射峰宽化和邻近峰重叠等,从而可能影响CPI量子点物相结构的准确辨认。而钙钛矿量子点的结构与性质密切相关,对器件的实际应用会产生重要影响。因此,探究钙钛矿量子点的结构变化及相关物性的内在关联至关重要。
有鉴于此,Betway体育西汉姆联物理科学学院超快电子显微镜实验室的付学文教授课题组与丹麦技术大学Sophie E. Canton研究员以及瑞典隆德大学郑凯波副教授合作,系统探究了CPI量子点在不同温度下的结构变化和载流子动力学的关联。他们发现CPI量子点在低温下存在立方-四方-正交的结构相变,并研究了低温下不同结构相的稳态发光和瞬态载流子动力学特性。进而揭示了相结构和发光性质及载流子动力学的内在关联。
研究人员通过低温多晶电子衍射,发现了CPI量子点在298K到100K之间发生的系列结构相变,并通过低温高分辨透射显微图像印证了这一结果。与传统的X射线衍射相比,由于电子与物质相互作用是X射线的104倍,因此电子束衍射的信号更强,对纳米晶而言分辨能力更高。同时,研究团队通过变温荧光光谱,表征了CPI量子点的发光带隙和半峰宽的变化。发现低温会影响晶格膨胀以及电声子耦合作用,同时,这些性质与相结构具有直接关联。此外,对于低温的载流子动力学与相结构的关联,研究团队利用低温瞬态光谱进行了系统的研究。发现热载流子冷却过程,单激子辐射复合以及双激子辐射复合过程存在显著的温度依赖性以及结构依赖性,并阐述了产生这些关联的物理原因。该研究为钙钛矿量子点在不同温度和相结构下的应用提供了支撑,有望进一步推动钙钛矿纳米晶及其前沿交叉领域的发展和器件的研发。

图1 CPI量子点双激子复合动力学的温度依赖性。a)功率依赖的时间分辨荧光光谱。插图为提取的双激子寿命。b)多激子组分强度与载流子浓度的关系,证明该组分为双激子。c)温度依赖的时间分辨荧光光谱。d)从(c)中提取的双激子寿命随温度的变化。不同颜色的温度区间对应各自的物相。

图2 CPI量子点温度依赖的载流子动力学特性。a)室温瞬态吸收光谱。b)三种物相对应温度的基态漂白信号动力学。不同颜色的温度区间对应各自的物相。c)不同激发强度下,瞬态吸收光谱通过全局拟合提取的弛豫过程光谱。d-f)三种物相对应温度的三个动力学过程的弛豫过程光谱。g-i)三个动力学过程寿命随温度的变化。

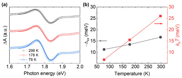
图3 a)三种物相对应不同温度在0.3 ps的瞬态吸收光谱。b)从(a)中提取的双激子结合能Δxx与热能KbT随温度的变化。说明双激子室温解离为单激子。
相关研究成果以“Probing the Multiexcitonic Dynamics in CsPbI3 Nanocrystals across the Temperature-Induced Reversible Phase Transitions”为题,发表在Wiley出版社《Advanced Energy Materials》期刊上。论文链接:https://onlinelibrary.wiley.com/doi/full/10.1002/aenm.202301097。该工作以Betway体育西汉姆联为第一完成单位,Betway体育西汉姆联物理科学学院博士生刘思宇、博士后耿慧芳为共同第一作者。合作者还包括天津大学博士耿华修、Betway体育西汉姆联物理科学学院硕士生黄转转和中科院物理所沈希副研究员等。通讯作者为Betway体育西汉姆联物理科学学院超快电子显微镜实验室的付学文教授课题组与丹麦技术大学Sophie E. Canton研究员以及瑞典隆德大学郑凯波副教授。相关工作得到了Betway体育西汉姆联牵头的科技部重点研发计划青年项目、自然科学基金委重大科研仪器项目和天津市杰出青年基金项目等的资助。
供稿:刘芳
校对:程丹
审核:薄方




